
Ushtrime – Funksionet trigonometrike
Për të zgjidhur këto ushtrime, fillimisht duhet të keni lexuar kapitullin e funksioneve trigonometrike.
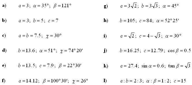
Ushtrimi 1
Gjeni brinjët dhe këndet e tjera të trekëndëshit ABC nëse jepen:
(Përdorni teoremat e sinusit dhe kosinusit)

funksionet trigonometrike – ushtrimi 1
Ushtrimi 2
Gjeni funksionet e tjera trigonometrike, nëse jepen:

funksionet trigonometrike – ushtrimi 2
Ushtrimi 3
Thjeshtoni shprehjet trigonometrike:

funksionet trigonometrike – ushtrimi 3

