
Për zgjidhjen e ketyre ushtrimeve bazohemi tek 2 temat e integrali te pacaktuar:
Ushtrimi 1
Duke përdorur tabelën e integraleve themelore, të njehsohen integralet:
a)
b)
c)
Zgjidhje
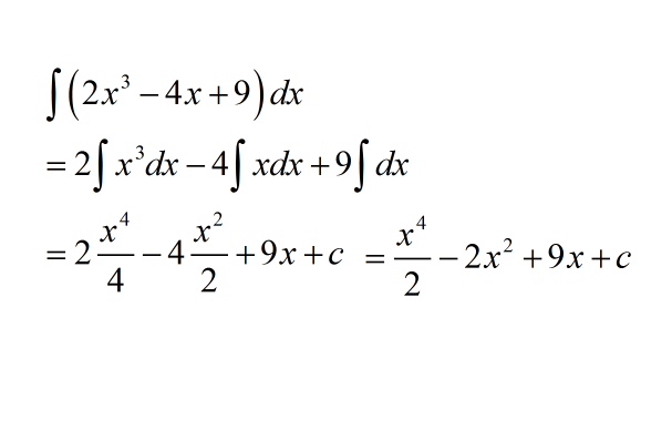
a)
b)
c)
Ushtrimi 2
Të njehsohen integralet:
a)
b)
c)
Zgjidhje
a)
Zbatojmë formulën e diferencës së katrorëve:
b)
c)
Ushtrimi 3
Të njehsohen integralet:
a)
b)
Zgjidhje
a)
b)
Ushtrimi 4
Të njehsohen integralet duke përdorur metodën e integrimit me pjesë:
a)
b)
c)
d)
e)
f)
Zgjidhje
a)
Për të zgjidhur integralet me metodën e integrimit me pjesë shkruajmë:
Tani përdorim formuën e integrimit me pjesë:
b)
Shkruajmë:
Zbatojmë formulën e integrimit me pjesë:
c)
shkruajmë:
Zbatojmë formulën e integrimit me pjesë:
d)
Shkruajmë:
Zbatojmë formulën e integrimit me pjesë:
e)
Shkruajmë:
Zbatojmë formulën e integrimit me pjesë:
f)
Shkruajmë:

