
Përkufizimi i integralit të caktuar
Dimë se dy primitive të të njëjtit funksion f ndryshojnë nga njëri-tjetri me një konstante, pra .
Duke zëvëndësuar x=b dhe x=a, kemi:
dhe
nga ku:
ose
.
Nga ky barazim del që për të gjetur diferencën mjafton të gjejmë diferencën
, ku F është një primitiv çfarëdo i funksionit F.
Përkufizim: “Diferenca e njëjtë e vlerave të një primitivi çfarëdo F të funksionit f”.
Në pikat x=a dhe x=b quhet integral i caktuar i tij në segmentin dhe shënohet me simbolin
).
Lexohet integrali i caktuar nga a në b i .
quhet kufiri i poshtëm i integrimit, kurse
quhet kufiri i sipërm i integrimit.
Sipas këtij përkufizimi kemi:
.
Duke shënuar kemi:
. Ky quhet përkufizimi i integralit të caktuar.
Pra, për njehsimin e integralit të caktuar kryhen veprimet e mëposhtme:
- Gjendet një primitiv çfarëdo F i funksionit f, dmth integral i pacaktuar i tij
.
- Njehsohet diferenca
e vlerave të funksionit
, për x=b dhe x=a.
Shembull 1
Të njehsohet integrali i caktuar
Zgjidhje
Veti të integralit të caktuar
- Shumëzuesi konstant mund të dal jashtë shënjës së integralit të caktuar
- Integrali i caktuar i shumës algjebrike të disa funksioneve të barabarta është i barabartë me shumën algjebrike të integraleve të caktuara të këtyre funksioneve.
- Në qoftë se c është një pikë e segmentit
, atëherë:
.
Gjithashtu pranojmë me marrëveshje se:
dhe
.
Ushtrime të zgjidhura
Ushtrimi 1
Të njehsohen integralet e caktuara:
a)
b)
Zgjidhje
a)
b)
.
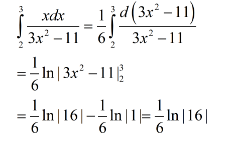
Ushtrimi 2
Të njehsohen integralet e caktuara:
a)
b)
c)
d)
Zgjidhje
a)
b)
c)
d)

